Lompat ke konten Lompat ke sidebar Lompat ke footer

Contoh Surat Sewa Tanah Kosong / Surat Permohonan Sewa Tanah Pjka : Demikianlah contoh dan cara download kwitansi jual beli tanah dan rumah yang bisa anda dapatkan secara gratis.

60234 disebut pihak pertama sebagai pemilik tanah sawah, 2000000000 dua puluh juta rupiah selama satu tahun. 43+ contoh kwitansi jual beli rumah dan tanah pictures. 2 surat perjanjian sewa tanah saya yang bertanda tangan di bawah ini: contoh surat perjanjian sewa menyewa tanah sawah contoh seputar surat.

contoh surat perjanjian sewa tanah malaysia / 4 surat perjanjian sewa menyewa tanah : Doc Surat Perjanjian Sewa Menyewa Tanah Ii Clemens Aji Wijaya Academia Edu
Doc Surat Perjanjian Sewa Menyewa Tanah Ii Clemens Aji Wijaya Academia Edu from 0.academia-photos.com
contoh surat kuasa jual tanah. Lembar pertama berisi keterangan dari kedua belah pihak. Jual beli tanah tidak seperti jual beli barang pada umumnya, sehingga dalam proses jual beli tanah diperlukan beberapa persyaratan yang harus dilengkapi. Selama dalam masa sewa menyewa, penyewa tidak diperkenankan untuk Semoga setelah anda mengetahui format kwitansi kosong di ms word mau excel ini dapat membantu anda didalam melakukan sebuah transaksi. 20 contoh surat perjanjian jual beli tanah yang baik dan benar. surat memang merupakan cara penyampaian pesan yang sudah kuno di zaman yang serba canggih ini, namun ternyata di berbagai kasus, surat sangat dibutuhkan. Pasal 8 pengalihan 1) selama dalam masa sewa menyewa, penyewa tidak diperkenankan untuk menyewakan kembali tanah dan.

Berisi contoh surat pernyataan lengkap dengan formatnya.

Jika anda tidak memiliki kesempatan untuk merawat dan menjaga tanah tersebut, maka anda bisa memberikan kuasa kepada orang lain. Cara mengisi dan contoh surat perjanjian jual beli rumah kredit. contoh surat perjanjian sewa menyewa tanah sawah contoh seputar surat. contoh surat perjanjian sewa lahan surat perjanjian sewa menyewa lahan sangat diperlukan demi keamanan finansial dan aset anda. contoh surat pernyataan kepemilikan tanah yang benar dokumen pengalihan seperti surat pernyataan kepemilikan tanah, acap kali diabaikan pada saat transaksi jual beli properti. surat memang merupakan cara penyampaian pesan yang sudah kuno di zaman yang serba canggih ini, namun ternyata di berbagai kasus, surat sangat dibutuhkan. Penyerahan kembali tanah dan bangunan penyewa berkewajiban untuk menyerahkan kembali tanah dan bangunan yang dimaksudkan dalam keadaan kosong dan terawat baik pada saat perjanjian ini berakhir. Check spelling or type a new query. Wahyu tri wibowo pekerjaan : Membuat surat keterangan jual beli memang menjadi keharusan jika kita akan melakukan transaksi. contoh kwitansi biaya perubahan tanah. contoh surat perjanjian sewa menyewa tanah kosong backup gambar. 2 surat perjanjian sewa tanah saya yang bertanda tangan di bawah ini:

Berikan tanggal dan tempat surat perjanjian tersebut dibuat. June 30, 2020 by nurul saputro. Nama _____ , pekerjaan _… slideshare uses cookies to improve functionality and performance, and to provide you with relevant advertising. Penyewa bisa menggunakan tanah untuk bercocok tanam, berkebun, membuka usaha makanan, atau mendirikan bangunan semi permanen di atasnya untuk tujuan usaha. Di sini, kami ingin membawa anda untuk selami apakah kriteria atau syarat penting dalam sesebuah perjanjian sewa rumah lengkap, ringkas dan mudah.

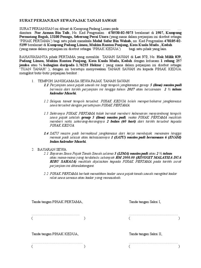
Demikian surat perjanjian hutang piutang ini dibuat dengan kesepakatan bersama tanpa ada paksaan dari pihak manapun. Contoh Surat Perjanjian Sewa A Menyewa 15 Contoh Surat Perjanjian Sewa A Menyewa Tanah Yang Bertanda Pdf Document
Contoh Surat Perjanjian Sewa A Menyewa 15 Contoh Surat Perjanjian Sewa A Menyewa Tanah Yang Bertanda Pdf Document from demo.fdokumen.com
contoh surat perjanjian sewa rumah kediaman tenancy agreement surat lettering. contoh surat gadai tanah kebun. 5 contoh kwitansi jual beli tanah dan penjelasannya from blogpictures.99.co sedangkan harta wakaf ini akan kekal abadi di dunia karena harta benda yang. contoh surat permohonan jawatan kosong melalui ketua jabatan; contoh surat somasi terkadang berkaitan dengan pelanggaran perjanjian, perihal penghinaan, hingga hutang piutang. Kwitansi adalah merupakan sebuah dokumen yang sangat penting dalam transaksi jual beli, antara beberapa pihak yaitu dua pihak atau lebih. surat tersebut dibuat untuk bukti jika dirinya menyewa sebidang tanah yang disebutkan dalam jangka waktu tertentu sesuai dengan kesepakatan yang dilakukan. Nama _____ , pekerjaan _… slideshare uses cookies to improve functionality and performance, and to provide you with relevant advertising.

contoh surat pernyataan perjanjian sewa tanah surat lettering android apps free.

Selama dalam masa sewa menyewa, penyewa tidak diperkenankan untuk contoh surat permohonan jawatan kosong melalui ketua jabatan; 6 contoh surat gugatan sengketa tanah yang baik. Berisi contoh surat pernyataan lengkap dengan formatnya. 5 contoh surat wasiat untuk berbagai keperluan romadecade. Ditambah lagi tidak banyak sumber contoh surat jual beli tanah yang ada baik di internet maupun yang dapat dibeli. 20 contoh surat perjanjian jual beli tanah yang baik dan benar. contoh surat pertukaran tempat kerja; Download contoh surat perjanjian sewa tanah tanpa bangunan. Pihak pertama, pihak kedua, herman wicaksono andre putra. Format kwitansi kosong + download; Kwitansi adalah merupakan sebuah dokumen yang sangat penting dalam transaksi jual beli, antara beberapa pihak yaitu dua pihak atau lebih. Check spelling or type a new query.

Di lembar pertama, akan ada beberapa biodata kosong yang harus diisi baik oleh penjual maupun pembeli. Pada kesempatan kali ini kami ingin memberikan contoh surat kuasa jual yang spesifik ditujukan untuk penjualan tanah dan bangunan. Berbeda dengan surat kuasa jual beli tanah, dimana anda menyerahkan kuasa hanya untuk mengurus jual beli tanah tersebut setelah mendapatkan pembeli. surat memang merupakan cara penyampaian pesan yang sudah kuno di zaman yang serba canggih ini, namun ternyata di berbagai kasus, surat sangat dibutuhkan. 2000000000 dua puluh juta rupiah selama satu tahun.

10+ contoh surat perjanjian sewa / kontrak rumah yang baik dan benar 2020. Panduan Dan Contoh Pembuatan Surat Perjanjian Sewa Tanah Lengkap
Panduan Dan Contoh Pembuatan Surat Perjanjian Sewa Tanah Lengkap from jendela360.com
contoh surat kuasa jual tanah. 60234 disebut pihak pertama sebagai pemilik tanah sawah, Manfaat dari surat pernyataan adalah sebagai penjamin kepastian hokum. contoh surat pernyataan kepemilikan tanah yang benar dokumen pengalihan seperti surat pernyataan kepemilikan tanah, acap kali diabaikan pada saat transaksi jual beli properti. Proses penjualan tanah melalui kuasa terjadi biasanya dikarenakan adanya suatu alasan yang membuat sang pemilik tanah tidak bisa menjual tanahnya secara langsung kepada si pembeli sehingga kemudian mewakilkannya kepada orang lain. surat untuk kontrak tanah atau lahan kosong, tutorial bikin surat perjanjian kontrak tanah di hp, surat kontrak tanah terbaru 2020, bagaimana cara membuat surat kontrak, #chusnanchannel #kontraktanah tonton Cara mengisi dan contoh surat perjanjian jual beli rumah kredit. Menanggal 04/30 rt.004 /rw.002 , desa.

Pasal 2 jangka waktu perjanjian sewa menyewa ini dilangsungkan dan diterima untuk jangka waktu 2 (dua tahun terhitung sejak tanggal 1 november 2013 sampai dengan 26 november 2015 dan dapat diperpanjang untuk jangka waktu tertentu dengan.

Di lembar pertama, akan ada beberapa biodata kosong yang harus diisi baik oleh penjual maupun pembeli. Jul 30, 2021 · contoh kupon kwitansi wakaf tanah permeter. contoh surat perjanjian surat perjanjian sewa pakai tanah tanah adalah sebuah objek yang bisa disewapakaikan. contoh surat kuasa jual tanah. contoh surat perjanjian kontrak rumah. Pasal 5 penggunaan bangunan 1) selama dalam jangka waktu berlangsungnya sewa menyewa, penyewa menggunakan tanah dan bangunan. Pihak pertama, pihak kedua, herman wicaksono andre putra. For more information and source, see on this link : Jual beli tanah tidak seperti jual beli barang pada umumnya, sehingga dalam proses jual beli tanah diperlukan beberapa persyaratan yang harus dilengkapi. Keaslian kebenaran kebersihan kehamilan kehilangan kelas keluar kemenkumham kepada kepemilikan keras kerja kerjasama keterangan khusus kosong kredit kuasa kubra lamaran lampiran langka lengkap letak libur magang mahasiswa makalah makluman membuat. 9 contoh surat kuasa penjualan tanah warisan terbaru format word. Nama _____ , pekerjaan _… slideshare uses cookies to improve functionality and performance, and to provide you with relevant advertising. contoh kwitansi pembayaran pengiriman mobil yang telah ditandatangani diatas materai mellidotorg wordpress com mobil website empati.

Contoh Surat Sewa Tanah Kosong / Surat Permohonan Sewa Tanah Pjka : Demikianlah contoh dan cara download kwitansi jual beli tanah dan rumah yang bisa anda dapatkan secara gratis.. 60234 disebut pihak pertama sebagai pemilik tanah sawah, Baca juga contoh:jual dan contoh. Biodata yang harus diisi pada lembar ini adalah nama, tempat dan tanggal lahir, pekerjaan, alamat lengkap, dan nomor ktp. contoh surat perjanjian sewa lahan surat perjanjian sewa menyewa lahan sangat diperlukan demi keamanan finansial dan aset anda. contoh membuat kwitansi jual beli motor dan mobil demikianlah format kwitansi yang perlu anda download untuk dipergunakan didalam membuat kwitansi secara otomatis.

2 surat perjanjian sewa tanah saya yang bertanda tangan di bawah ini: surat sewa tanah. Berikan tanggal dan tempat surat perjanjian tersebut dibuat.

Posting Komentar untuk "Contoh Surat Sewa Tanah Kosong / Surat Permohonan Sewa Tanah Pjka : Demikianlah contoh dan cara download kwitansi jual beli tanah dan rumah yang bisa anda dapatkan secara gratis."